Hi ![]()
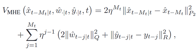
I would like to implement the discount cost function for MHE using acados matlab interface.
I am aware of that we can update the discount factor eta by setting scaling using command cost_set() in python interface.
Is there a similar method in matlab interface to achieve that? because I could not find the cost_set()command in matlab interface.
Thanks.
Lingbing
